电能质量测量技术第11期Fluke独家功能之能量损失计算器
	Fluke1775/7–特点  Fluke独家功能 - 能量损失计算器
	1、降损–背景与要求,线损分析的重要性
	2、F1775/7,线损分析–原理、方法
	3、F1775/7,负载–电压质量的附加损耗
	4、F1775/7,电能损失 – 总计、线损率
	能量损失计算器:
	显示由于PQ不佳造成的损失
	
1、背景:降损–线损分析的重要性
	电能损失计算器
	显示由于PQ不佳造成的损失
2、线损–基本概念
	线损:电能传输过程中出现的损耗。
	例:1、变压器的有功功率损耗
	2、导线的有功功率损耗
	
3、电网 – 线损算法、线损管理
	电力公司:线损算法
	实际线损,由电能表所计量的总供电量和总售电量来计算。
	线损电量 = 供电量 - 售电量
	
中国:目前电厂到用户的总损耗 8-15% - 电网降损
4、用电企业 – 线损算法、限值
用电企业:线损算法、要求算法:
总的用电量-各用电装置用电量 = 线损电量
线损率,限值要求- GB

5、降低线损 – 面临的问题
				线损的原因 - 究竟包含哪些具体因素?
				有功电流?无功电流?谐波电流?负序、零序电流?
				线损分析的重要性 - 采取降损措施的前提。
				只有线损总量数据,无法确定采用何种降损方案。
				降损措施,例:
				●加强电网建设、线路改造,
				●无功补偿,
				●三相不平衡管理,
				●谐波治理,
6、Fluke能量损耗计算功能:应用案例
问题:无法确定线损的具体原因。。。(窃电?)
解决方法:采用F435-II监测验证,并进行线损分析,分清责任归属。
为电力公司负荷管理提供有权威的数据参考。
2、西南某地市级电力公司
定量分析:电气化铁路牵引站 - 负序电流造成的线损。
定量分析:大型非线性负载 – 谐波电流造成的线损。
- 采用了多台F435 II仪器。
3、某省级电科院
专门研究课题:配电网电能质量损耗。
- 采用了Fluke测量技术及F435 II仪器。
7、F1775/7-能量损耗计算功能
电力用户的用电质量。
例:负载的无功电流、谐波电流、不平衡电流等
将造成额外的线路有功功率损耗。
2、电压质量–负载的附加损耗
供电电压质量。
例:谐波电压、不平衡电压,
可能导致负载出现额外的有功功率损耗。
8、Fluke独家功能 - 能量损失计算器
电流质量线损测量与分析–原理、方法

9、电流 - 测量与分解

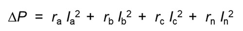
10、F1775/7-单相负载的线损
负载的实际线损由馈线电阻(r)、电流(i)计算得出∆P=rl²


11、三相系统的线损
三相系统-实际的线路损耗三相电流、中性线电流在线路电阻上产生的有功损耗。

12、F1775/7-三相系统,线损分析
2、无功电流
3、不平衡电流
4、谐波电流
5、中性线电流
↧↧↧↧

13、F1775/7:设置线路电阻
馈线电缓的阻值:三种设置方法
				1、
				
				2、直接输入相线、中性线的电阻值。
				3、设定断路器动作电流值,得出相应的馈线电阻。
14、F1775/7:能量损失计算器

15、F1775/7,例:设置馈线电阻值
馈线电缆:阻值设置

16、F1775/7:电能损失计算器
参数的含义
Fluke 1770 系列三相电能质量分析仪
				自动测量。更灵活。更出色的电能质量故障排除能力。
				Fluke 1770 系列三相电能质量分析仪使电能质量记录、故障排除和分析变得简单。1770 系列的设计目标是实现更快速、更轻松的电能质量研究,提供自动测量、直观用户界面和设置,出色的规格以及简化的报告平台。该仪器还可以直接通过测量电路供电,无需寻找电源插座或使用很长的延长线
				使用 1770 系列,您将不会错过关键的电能质量事件—从高达 8 kV 的快速瞬变,高达 30 kHz 的谐波,到骤降和骤升,以及电压、电流和功率测量,使您能够对电气系统进行全方位的分析。
| 电压输入 | |
|---|---|
| 输入数量 | 4 路输入,相对于 PE 的三相和零线(5 个连接器) | 
| 测量类别 | 1000 V CAT III/600 V CAT IV | 
| 最大输入电压 | 1000 V rms/1000 V dc (1700 Vpk) | 
| 额定电压范围 | 
							星形和单相:可变 (50 V – 1000 V) 三角形:可变 (100 V – 1000 V) 标称电压符合 IEC 61000-4-30 A 类标准 (Vdin) 100 V – 690 V  | 
					
| 输入阻抗 | 10 MΩ(P-P 和 P-N 之间)、5 MΩ(P-PE 和 N-PE 之间) | 
| 带宽 | 直流,高达 30 kHz,用于电能质量测量,不包括瞬变 | 
| 分辨率 | 24 位同步采样 | 
| 采样频率 | 50/60 Hz 时为 80 kS/s | 
| 缩放 | 1:1,可变,用于电压互感器 | 
| 电压瞬变 | |
|---|---|
| 测量范围 | ±8 kV | 
| 采样速率 | 
							Fluke1775:1 MS/s Fluke1777:1 MS/s、20 MS/s  | 
					
| 带宽 | DC 至 1 MHz | 
| 触发器 | 可调触发电平。高频分量上的触发器 > 1.5 kHz | 
| 分辨率 | 14 位同步采样 | 
| 电流输入 | ||
|---|---|---|
| 输入数量 | 4 路输入(三相和零线),为相连传感器自动选择量程 | |
| 量程 | 交流 | 
							1 A 至 1500 A,使用 i17XX-FLEX1500 12 1 A 至 1500 A,使用 i17XX-FLEX1500 24 3 A 至 3000 A,使用 i17XX-FLEX3000 24 6 A 至 6000 A,使用 i17XX-FLEX6000 36 40 mA 至 40 A,使用夹钳 i40s-EL 4 A 至 400 A,使用夹钳 i400s-EL  | 
					
| 直流 | 20 A 至 2000 A,使用夹钳 80i-2010-EL | |
| 带宽 | DC 至 30 kHz | |
| 分辨率 | 24 位同步采样 | |
| 采样频率 | 50/60 Hz 时为 80 kS/s | |
| 缩放 | 1:1,可变 | |
| 输入电压 | 
							夹钳:50 mV / 500 mV rms;CF 2.8 罗哥夫斯基线圈:15 mV/150 mV rms @ 50 Hz,18 mV/180 mV rms @ 60 Hz;CF 4 全部为标称探头量程  | 
					|
| 输入阻抗 | 11 kΩ | |
| Aux 输入 | |
|---|---|
| 有线连接,使用 17XX-AUX 适配器 | |
| 输入数量 | 2 | 
| 输入范围 | 
							直流:0 V dc 至 ± 10 V dc 0 V 至 1000 V dc  | 
					
| 输入阻抗 | 直流:2.92 MΩ | 
| 比例因数 | 格式:mx + b(增益和偏移)用户可配置 | 
| 显示的单位 | 用户可进行配置(最长 8 个字符,例如 °C、psi 或 m/s) | 
| 电压和电流数据采集 | |
|---|---|
| 输入电源频率 | 直流,50/60 Hz 15 %(42.5 Hz … 57.5 Hz、51 Hz … 69 Hz) | 
| 拓扑 | 1-φ、1-φ IT、分相、3-φ 三角形、3-φ 星形 IT、3-φ Aron/Blondel(二元三角形)、3-φ 三角形开放式分支、3-φ 高分支三角形 | 
| 数据存储 | 
							Fluke 1773/1775:8 GB 内存(可使用 microSD 卡扩大内存) Fluke 1777:32 GB microSD 卡(已安装)  | 
					
| 内存容量 | 
							典型值:10 个为期 8 周、间隔为 1 分钟和 100 个事件的记录会话。 可用的记录会话数和记录周期取决于用户的需求  | 
					
| 实时精度 | 
							内部:3 ppm(每天 0.26 s,每月 8 s) NTP(互联网时间):根据互联网延迟,通常 < 0.1 s,相对于协调世界时 (UTC) GPS:< 1 ms,相对于协调世界时 (UTC)  | 
					
| 趋势间隔 | |
|---|---|
| 测量的参数 | 请参阅操作手册 | 
| 趋势间隔 | 用户可选:1 s、3 s、5 s、10 s、30 s、1 min、5 min、10 min、15 min、30 min | 
| 平均间隔,最小值/最大值 | 
							电压、电流:½ 周期 RMS(20 ms @ 50 Hz,16.7 ms @ 60 Hz) Aux、功率:200 ms  | 
					
| 总谐波失真 | 基于 50 谐波计算电压和电流的总谐波失真 (THD) | 
| 电能质量测量值 | ||
|---|---|---|
| 测量的参数 | 请参阅操作手册 | |
| 谐波 | 
							h0 … h50 电压、电流和功率的 % 基波和 RMS 电压和电流的相位角,高达 h11  | 
					|
| 间谐波 | 
							ih0… ih50 电压和电流的 % 基波和 RMS  | 
					|
| 超谐波 | 
							2–9 kHz,200 Hz 频率点 9–30 khz,2 kHz 频率点 电压和电流的 RMS  | 
					|
| 谐波测量方法 | 
							根据 IEC 61000-4-7,分组谐波、子组谐波和单次谐波 bin。 根据配置的电能质量标准自动选择的方法或用户可配置。  | 
					|
| 总谐波失真 | 根据多达 50 次谐波进行计算(取决于选定的电能质量标准) | |
| 电源信号 | 2 个频率,范围从 110 Hz到3000 Hz | |
| 事件 | 电压 | 骤降、骤升、瞬断、快速电压变化、电源信号、波形偏差、瞬变 | 
| 电流 | 浪涌电流 | |
| 触发记录 | 
							电压和电流的半周期 RMS 持续 10 s 10/12 周期的电压和电流波形 电源信号:电源信号电压的 200 ms RMS,最长 120 s 瞬变:电压波形 (Fluke 1777:1 MS/s 或 20 MS/s,500000 pts;Fluke 1775:1 Ms/s,25000 pts)  | 
					|
| 符合标准 | |
|---|---|
| 电源 | IEEE 1459 | 
| 谐波 | 
							IEC 61000-4-7: Class 1 IEEE 519(短时和超短时谐波)  | 
					
| 闪变 | IEC 61000-4-15 F1 类 | 
| 电能质量 | IEC 61000-4-30 A 类,IEC 62586 PQI-A-PI | 
| 电能质量合规性 | EN 50160 + GOST + NEQUAL + NETCODE + FOL | 
| 接口 | |
|---|---|
| 以太网 | 1 Gbit/s 1000BASE-T | 
| USB A 型 | USB 2.0 高速 U 盘,用于传输测量数据、固件更新和许可证安装。最大供电电流:500 mA | 
| USB-C | 
							USB 2.0 高速,用于将数据下载至 PC 和校准(需要 USB A 型转 USB-C 或 USB-C 转 USB-C 线缆) 分析仪辅助电源(需要 USB C 电源适配器,支持 PD 2.0 或更高版本协议,支持 9 V 1.8 A) USB 3.0 超高速,用于 USB-C 闪存盘,用于传输测量数据、固件更新和许可证安装。最大供电电流:900 mA  | 
					
| WiFi/BLE 模块1 | 
							802.11 ac 2.4 GHz/5 GHz,支持并发接入点和客户端模式 蓝牙 5.0/BLE 天线:内置和外置2  | 
					
| LTE/4G 模块3 | 
							LTE-A Cat 12 全球 LTE-A 和 UMTS/HSPA+ 覆盖范围 天线:外置2  | 
					
| GPS | MCX 连接器,用于连接 GPS/GLONASS2 的 GNSS 天线 | 
| 
							1 177X/BASIC 机型不提供 2 需要 5m 延长线,Fluke 零件号:5263915 3 可用性和支持的提供商因国家/地区而异。请咨询您当地的福禄克代表。  | 
					|
电气测量精度
| 参数 | 量程 | 分辨率 | 
							参考条件下的固有精度 读数的 % + 满量程的 %  | 
					|
|---|---|---|---|---|
| 电压 | 1000 V | 0.1 V | 
							标称电压的 0.1 % 符合 IEC 61000-4-30 A 类标准1,2 ±(0.04 % + 0.004 %)3  | 
					|
| 电压骤降和骤升 | - | 0.1 V | 标称电压的 0.2 %1,2 | |
| 电压瞬变 | ±8 kVpk | - | ±5 % +0.25 %) | |
| 电压谐波/间谐波 | 100 % | 0.1 %/0.1 mV | 
							≥1 % 标称电压1: 读数的 ±2.5 % <1 % 标称电压 1: ±0.025 标称电压  | 
					|
| 电压的总谐波失真 | 100 % | 0.1 %/0.1 V | ±(2.5 % + 0.5 %) | |
| 电压失真 2-9 kHz | 最大 100 V | 0.1 mV | ±(2.5 % + 0.1 V) | |
| 电压失真 9-30 kHz | 最大 100 V | 0.1 mV | ±(2.5 % + 0.1 V) | |
| 
							电流 (罗哥夫斯基夹钳模式)  | 
						
							使用 iFlex 1500 A, i17XX-FLEX1500 24  | 
						
							150 A 1500 A  | 
						
							0.01 % 0.1 A  | 
						±(1 % + 0.02 %) | 
| 
							使用 iFlex 3000 A, i17XX-FLEX3000 24  | 
						
							300 A 3000 A  | 
						
							0.01 A 0.1 A  | 
						±(1 % + 0.03 %) | |
| 
							使用 iFlex 6000 A, i17XX-FLEX6000 36  | 
						
							600 A 6000 A  | 
						
							0.1 A 1 A  | 
						±(1.5 % + 0.03 %) | |
| 
							使用交流夹钳 40 A, i40s-EL  | 
						
							4 A 40 A  | 
						
							0.001 A 0.01 A  | 
						±(0.7 % + 0.02 %) | |
| 
							使用交流夹钳 400 A, i400s-EL  | 
						
							40 A 400 A  | 
						
							0.01 A 0.1 A  | 
						
							±(2 % + 0.2 %) ±(0.7 % + 0.1 %)  | 
					|
| 
							使用交流/直流夹钳 2000 A、80i-2010s-EL  | 
						
							200 A 2000 A  | 
						
							0.01 A 0.1 A  | 
						±(0.8 % + 0.2 %) | |
| 电流最小值/最大值 | 100 % | 由附件定义 | 固有精度 x2 | |
| 电流谐波/间谐波 | 100 % | 0.1 %/0.01 A | 
							≥3 % 标称电流: 读数的 ±2.5 % 4 <3 % 标称电流: 标称电流 ±0.15 %  | 
					|
| 电流的总谐波失真 | 100 % | 0.1 % | ±(2.5 % + 0.5 %) | |
| 频率 | 42.5 Hz … 69 Hz | 0.001 Hz | ±0.01 Hz | |
| 电压失衡 | 100 % | 0.1 % | ±0.15 % | |
| 电流失衡 | 100 % | 0.1 % | ±0.15 % | |
| 闪变 Pinst、Pst、Plt | 0 至 20 | 0.01 | 5 % | |
| 电源信号电压 | 
							高达 3 kHz 标称电压的 0-15 %  | 
						0.1 V/0.1 % | 
							1-3 % 标称电压:标称电压的 ±0.15 % 3-15 % 标称电压:读数的 ±5 %  | 
					|
| AUX 输入 | ±10 V | 0.1 mV | ±(0.2 % + 0.05 %) | |
| 
							1 标称电压在 100 V 至 690 V 范围内;也称为 Udin。 2 0 °C 至 45 °C:固有精度 x2。0 °C 至 45 °C 以外:固有精度 x3 3 只适用于校准实验室 4 使用 iFlex 1500A、I17XX-FLEX1500 24  | 
					||||
功率/电能
| 参数 | 直流输入1 | 夹钳 i40S-EL | 
|---|---|---|
| 功率范围 W、VA、var | 
							夹钳:50 mV/500 mV 罗哥夫斯基:15 mV/150 mV  | 
						4 A/40 A | 
| 
							夹钳:50 W/500 W 罗哥夫斯基:15 W/150 W  | 
						4k W/40 kW | |
| 最大分辨率 W、VA、var | 0.1 W | 1 W/10 W | 
| 相位(电压到电流)1 | ±0.2° | ±1° | 
| 参数 | iFlex 1500A,I17XX-FLEX1500 24 | iFlex 3000A,I17XX-FLEX3000 | iFlex 6000A,I17XX-FLEX6000 | 
|---|---|---|---|
| 功率范围 W、VA、var | 150 A/1500 A | 300 A/3000 A | 600 A/6000 A | 
| 150 kW/1.5 MW | 300 kW/3 MW | 600 kW/6 MW | |
| 最大分辨率 W、VA、var | 0.1 kW/1kW | 1 kW/10 kW | 1 kW/10k W | 
| 参数 | I17XX-FLEX1500 24 | I17XX-FLEX3000 | I17XX-FLEX6000 | |
|---|---|---|---|---|
| 有功功率 P | PF ≥ 0.99 | 150 A/1500 A | 300 A/3000 A | 600/6000A | 
| 1.2 % + 0.005 % | 1.2 % + 0.0075 % | 1.7 % + 0.0075 % | ||
| 有功电能 Ea | 0.1 ≤ PF < 0.99 | (1.2+√(1-PF2)/(2 PF)) % + 0.005 % | (1.2+√(1-PF2)/(2 PF)) % + 0.0075 % | (1.7+√(1-PF2)/(2 PF)) % + 0.0075 % | 
| 
							视在功率 S 视在能量 Eap  | 
						0 ≤ PF ≤ 1 | 1.2 % + 0.005 % | 1.2 % + 0.0075 % | 1.7 % + 0.0075 % | 
| 
							无功功率 Q 无功电能 Er  | 
						0 ≤ PF ≤ 1 | 测得的视在功率/电能的 2.5% | ||
| 
							附加不确定性 (功率高量程的 %)  | 
						VP-N > 250 V | 0.02 % | 0.02 % | 0.02 % | 
| 相位(电压到电流) | - | 0.28° | 0.28° | 0.28° | 
| 
							 1 标称电压在 100 V 至 690 V 范围内;也称为 Udin。 参比条件环境:23 °C ±5 °C,仪表至少工作 30 分钟,无外部电/磁场,相对湿度小于 65 % 输入条件:Cos Φ/PF=1,正弦信号 f=50/60 Hz,电源 120 V/230 V ±10 %。 电流和功率技术指标:输入电压 >100V 输入电流 > 电流范围的 10 % 一次侧导体位于电流钳或罗哥夫斯基线圈的中心位置 温度系数:高于 28 °C 或低于 18 °C 时,每摄氏度增加 0.1x规定精度  | 
					||||
一般技术指标
| 主要特点 | |
|---|---|
| 保修期 | 
							分析仪:2 年(不含电池) 附件:1 年(含电池)  | 
					
| 校准周期 | 2 年 | 
| 尺寸(长x宽x高) | 28.0 cmx19.0 cmx6.2 cm (11.0 inx7.5 inx2.4 in) | 
| 重量 | 2.1 kg (4.6 lb) | 
| 防盗保护 | Kensington 防盗锁适用的槽 | 
| 环境参数 | |
|---|---|
| 工作温度范围 | -10 °C 至 50 °C | 
| 存放温度范围 | -20 °C 至 60 °C | 
| 工作湿度 | 
							IEC 60721-3-3: 3K5(修订版): -10 °C 至 30 °C:≤95 %,无冷凝或冰 35 °C:70 % 40 °C:55 % 50 °C:35 %  | 
					
| IP 等级 | IEC 60529:IP50 | 
| 振动 | IEC 60721-3-3 / 3M2 | 
| 电源 | |
|---|---|
| 电压范围 | 100 V – 600 V -15 %/+10 % (85 V … 660 V) | 
| 功耗 | 最大 40 VA | 
| 电源频率 | 50/60 Hz (42.5 Hz … 69 Hz) | 
| 不间断电源 | 
							锂离子电池 BP1770,具有更大的温度范围,客户可更换 电池供电的运行时间:1.5 小时  | 
					
| 安全性 | |
|---|---|
| 一般信息 | IEC 61010-1:污染等级 2 | 
| 电源 | 
							过电压 CAT IV 600 V 配有电源适配器 MA-C8:过电压 CAT II 300 V  | 
					
| 测量 | IEC 61010-2-030:CAT IV 600 V、CAT III 1000 V | 
| 海拔 2000 m 至 4000 m | 
							降额至: 电源:CAT IV 300 V 配有 MA-C8 适配器:CAT II 150 V 测量:CAT IV 300 V、CAT III 600 V、CAT II 1000 V  | 
					



